설계 및 계획
- HOME
- 내진기초·말뚝
- 설계 및 계획

1. 직접기초 설계
1.1 직접기초 적용범위 및 설계조건
1.1.1 직접기초 적용범위
직접기초는 지반이 좋은 조건, 풍화암 정도 이상인 경우에 적용할 수 있다. 다음 [표 4.1]은 개략적인 지지력 평가를 수행한 결과이며, N값에 따른 지반의 지지력과 직접기초가 가능한 지반이라고 판단된다.
다음은 지반의 N값으로 적용가능한 층수별 필요 지지력을 표시한 것이며, 침하검토가 추가되는 경우 N=20 이하에서는 지지층으로 하지 않는 것이 건물의 안정성을 확보하는 것이라 판단된다. N=20~30범위인 경우는 병용기초(Piled Raft Foundation)를 적용하는 것이 건물의 안정성을 확보하는 것이다.
건물 층별 지지력 평가 검토
|
N |
qult(kPa) |
qa(kPa) |
건물층수 |
지압응력(kPa) |
비고 |
|
10 |
256 |
85.33 |
5 |
75 |
OK |
|
15 |
384 |
128.00 |
6 |
90 |
OK |
|
20 |
512 |
170.67 |
8 |
120 |
OK |
|
25 |
640 |
213.33 |
10 |
150 |
OK |
|
30 |
768 |
256.00 |
15 |
225 |
OK |
|
35 |
896 |
298.67 |
16 |
240 |
OK |
|
40 |
1024 |
341.33 |
20 |
300 |
OK |
|
50 |
1280 |
426.67 |
25 |
375 |
OK |
|
60 |
1536 |
512.00 |
30 |
450 |
OK |
1.1.2 직접기초 설계조건
직접기초의 설계조건은 다음과 같이 가정한다.
- 지상 5층 / 지하 1층 / 층간높이 3.0m
- 건물무게 : 15.0kN/m2
- 건물 밑면적 : B=10.0m, L=10.0m
- 지역 : 서울시 성북구
- 내진등급 : Ⅰ등급 지역
- 지반조건 : 풍화암 N=60
1.2 지진특성 산정
1.2.1 건축물의 중요도 결정
건축물 설계에서 내진 등급을 결정하기 위해서는 중요도를 결정하는데, 중요도(1)에 대한 내용은 다음과 같다. 5층 이상이고 다가구가 거주하는 것으로 분류한다면 중요도(1)에 해당된다고 판단된다.
(1) 연면적 1,000 m2 미만인 위험물 저장 및 처리시설
(2) 연면적 1,000 m2 미만인 국가 또는 지방자치단체의 청사⋅외국공관⋅소방서⋅발전소⋅방송국⋅전신전화국
(3) 연면적 5,000 m2 이상인 공연장⋅집회장⋅관람장⋅전시장⋅운동시설⋅판매시설⋅운수시설(화물터미널과 집배송시설은 제외함)
(4) 아동관련시설⋅노인복지시설⋅사회복지시설⋅근로복지시설
(5) 5층 이상인 숙박시설⋅오피스텔⋅기숙사⋅아파트
(6) 학교
(7) 수술시설과 응급시설 모두 없는 병원, 기타 연면적 1,000 ㎡ 이상인 의료시설로서 중요도(특)에 해당하지 않는 건축물
1.2.2 내진등급과 중요도 계수 결정
건축물의 중요도가 결정되면, 적용 내진 등급과 중요도 계수를 결정한다. 다음은 설계기준에서 제시한 내진등급과 중요도 계수이다.
- 건물의 중요도 : 중요도(1)
- 내진등급 : Ⅰ
- 내진등급에 따른 중요도 계수 : 1.2
내진등급과 중요도계수
|
건축물의 중요도1) |
내진등급 |
내진설계 중요도계수( |
|
중요도(특) |
특 |
1.5 |
|
중요도(1) |
Ⅰ |
1.2 |
|
중요도(2), (3) |
Ⅱ |
1.0 |
|
1) KDS 41 10 05 (3.건축물의 중요도분류)에 따름 |
||
※ KDS 41 17 00 : 2019 건축물 기초구조 설계기준
계획하는 건축물의 지하실이 있는 경우는 다음 사항을 참조하여 중요도를 결정하며, 그렇지 않은 경우는 지상구조물의 내진등급을 따르며, 본 검토에서는 지상구조물의 지반등급을 따른다.
- 지하구조물은 건축물로 분류된 구조물(단독 지하주차장, 지하역사, 지하도 상가 등)과 건축물의 지상층과 연결되어 있는 지하구조물(공동주택의 지하주차장 등)이다.
- 지하구조물의 중요도
지하구조물의 중요도는 용도 및 규모에 따라 KDS 41 10 05 건축구조기준 총칙의 3. 건축물의 중요도 분류를 따른다. 다만, 지하층이 있는 건축물에서 지하층이 지상층에 비하여 넓은 평면을 가지는 경우, 지상층으로부터 전달되는 하중을 부담하는 영역 및 주요한 횡력(토압, 수압 등)을 지지하는 부재는 지상층의 중요도를 따르며, 그외 부분의 중요도는 지하층의 용도에 따라서 중요도계수를 다르게 적용할 수 있다.
1.2.3 유효지반가속도 산정
가. 지진구역 계수 이용방법
우리나라 지진구역 및 이에 따른 지진구역계수(Z)는 각각 국가설계기준(KDS 17 10 00 : 2018 내진설계 일반)을 따른다.
= 0.11 × 2.0 = 0.22
지진구역
|
지진구역 |
행 정 구 역 |
|
|
Ⅰ |
시 |
서울, 인천, 대전, 부산, 대구, 울산, 광주, 세종 |
|
도 |
경기, 충북, 충남, 경북, 경남, 전북, 전남, 강원 남부1 |
|
|
Ⅱ |
도 |
강원 북부2, 제주 |
|
1 강원 남부(군, 시) : 영월, 정선, 삼척, 강릉, 동해, 원주, 태백 2 강원 북부(군, 시) : 홍천, 철원, 화천, 횡성, 평창, 양구, 인제, 고성, 양양, 춘천, 속초 |
||
※ KDS 17 10 00 : 2018 내진설계 일반
지진구역계수(평균재현주기 500년에 해당)
|
지진구역 |
Ⅰ |
Ⅱ |
|
지진구역계수, |
0.11 |
0.07 |
※ KDS 17 10 00 : 2018 내진설계 일반
위험도 계수
|
평균재현주기(년) |
50 |
100 |
200 |
500 |
1,000 |
2,400 |
4,800 |
|
위험도계수, |
0.40 |
0.57 |
0.73 |
1 |
1.4 |
2.0 |
2.6 |
※ KDS 17 10 00 : 2018 내진설계 일반
나. 지도에서 검색
다음은 지도에서 검색하는 방법으로, 서울은 2400년 기준으로 0.16에 가깝다.

국가지진위험지도, 재현주기 2400년 최대고려지진의 유효지반가속도(S)% (소방방재청, 2013)
1.2.4 지반 증폭계수
단주기 지반증폭계수
와 1초 주기 지반증폭계수
는 각각 다음 [표 4.6], [표 4.7]과 같으며, 지반의 등급은 조사를 하지 않은 경우는 S5 또는 S6로 정하고, 조사하지 않은 경우는 S4로 정할 수 있다. 원칙적으로 지반조사는 하여야 한다.
- S = 0.22, 지반등급 S4
-
= 1.4
-
= 2.0
정확하게는 S=0.2,
=1.4와 S=0.3,
=1.2의 중간값을 보간법을 이용하여 S=0.22의
,
의 값을 산정하는 것이다. 안정성을 고려하여 높은 값을 적용할 때는 문제가 없다.
단주기지반증폭계수, ![]()
|
지반종류 |
지진지역 |
||
|
s≤0.1 |
s=0.2 |
s=0.3 |
|
|
S1 |
1.12 |
1.12 |
1.12 |
|
S2 |
1.4 |
1.4 |
1.3 |
|
S3 |
17 |
1.5 |
1.3 |
|
S4 |
1.6 |
1.4 |
1.2 |
|
S5 |
1.8 |
1.3 |
1.3 |
|
* s는 설계스펙트럼 가속도 산정식 (4.2-1)에 적용된 값이다. 위 표에서 s의 중간값에 대하여는 직선보간한다. |
|||
1초주기 지반증폭계수, ![]()
|
지반종류 |
지진지역 |
||
|
s≤0.1 |
s=0.2 |
s=0.3 |
|
|
S1 |
0.84 |
0.84 |
0.84 |
|
S2 |
1.5 |
1.4 |
1.3 |
|
S3 |
1.7 |
1.6 |
1.5 |
|
S4 |
2.2 |
2.0 |
1.8 |
|
S5 |
3.0 |
2.7 |
2.4 |
|
* s는 설계스펙트럼 가속도 산정식 (4.2-1)에 적용된 값이다. 위 표에서 s의 중간값에 대하여는 직선보간한다. |
|||
(1) 지하층 및 지상층 건물의 설계에는 단일값의 대표지반증폭계수를 사용해야 하며, 이때 대표지반증폭계수는 각 지반조사 위치에서 결정된 값의 평균값으로 정하거나, 설계상에 가장 불리한 값으로 정한다. 하나의 지하층 구조로 연결된 복수의 지상층 건물의 설계에도 단일값의 대표지반증폭계수를 사용한다.
(2) 건물이 급격한 경사지에 건설되는 경우 대표지반증폭계수는 각 지반조사위치에서 결정된 값 중에서 설계상에 가장 불리한 값으로 정한다.
(3)
와
값을 부지고유의 지진응답해석을 수행하여 결정할 수 있다. 이 경우 부지고유응답해석으로 산정한 설계스펙트럼가속도
와
는 지진구역계수(Z)와 2400년 재현주기에 해당하는 위험도계수(I) 2.0을 곱한 값에 [표 4.6], [표 4.7]의 (2)항에 제시된 해당지반의 증폭계수를 적용하여 구한 값의 80% 이상이어야 한다.
1.2.5 설계스펙트럼 가속도
(1) 단주기와 주기 1초의 설계스펙트럼가속도
,
은 다음 식에 의하여 산정한다.
여기서,
와
는 각각 [표 4.6]과 [표 4.7]에 규정된 지반증폭계수이다.
(2) 기반암의 깊이가 20m를 초과하고 지반의 평균 전단파속도가 360m/s 이상인 경우, [표 4.7]에 규정된
의 80%를 적용한다.
(3) 지반분류가
이고 기반암의 깊이가 불분명한 경우, [표 4.6]과 [표 4.7]에 규정된
와
의 110%를 적용한다.
1.2.6 고유주기의 약산법
근사 고유주기
(초)는 다음 식에 따라 구한다.
![]()
여기서,
=0.0466,
=0.9 :철근콘크리트모멘트골조
=0.0724,
=0.8 :철골모멘트 골조
=0.0731,
=0.75:철골 편심가새골조 및 철골 좌굴방지가새골조
=0.0488,
=0.75:철근콘크리트전단벽구조, 기타골조
:건축물의 밑면으로부터 최상층까지의 전체높이(m)
(1) 강성에 영향을 줄 수 있는 비보강채움벽이 있는 철근콘크리트모멘트골조, 철골모멘트골조의 주기는 상기식에 2/3를 곱하여 산정한다. 콘크리트 전단벽체가 주요 횡저항 시스템인 경우에는 기타골조의 주기식을 적용한다.
(2) 철근콘크리트와 철골 모멘트저항골조에서 12층을 넘지 않고, 층의 최소높이가 3m 이상일 때 근사고유주기
는 아래 식에 의하여 구할 수 있다.
여기서,
:층수
(3) 12층 이하인 경우 다음식으로 산정할 수 있다.
![]()
여기서,
=0.0466,
=0.9:철근콘크리트모멘트골조
1.2.7 지진응답계수
(1) 지진응답계수
는 다음과 같이 구한다.
- R = 4,
= 1.2

(2) 산정한 지진응답계수
는 다음 값을 초과하지 않아야 한다.
:
: 
(3) 그러나 지진응답계수
는 다음 값 이상이어야 한다.
![]()
여기서,
:표 2.2-1에 따라 결정된 건축물의 중요도계수
:표 6.2-1에 따라 결정한 반응수정계수
:4.2에 따른 단주기 설계스펙트럼가속도
:4.2에 따라 결정한 주기 1초에서의 설계스펙트럼가속도
:7.2.3에 따라 산정한 건축물의 고유주기(초)
:5초
1.3 건축물 지진에 의한 하중
건물 기초 하부에 지진으로 발생되는 하중은 건물에 발생되는 지진력과 같기 때문에 다음과 같이 산정한다. 주의할 점은 지하층이 있는 경우, 그림과 같이 지진토압을 산정하여 추가해야 하며, 이때 하중조합의 원칙을 따라야 한다. 또한 지하구조물 지진 등급을 다르게 할 경우는 지하층과 지상층, 토압으로 나누어 산정해야 한다.

지진시 건축물 토압산정 방법
(1) 건축물의 무게는 별도의 구조계산식 없는 경우 안전측으로 다음과 같이 산정한다.
kN
여기서,
: 건물 층수
: 건축 면적당 하중(15.0kPa)
B, L : 폭
(2) 밑면전단력
는 다음과 같이 산정한다.
kN
여기서,
:식 (7.2-2)에 따라 산정한 지진응답계수
:고정하중과 아래에 기술한 하중을 포함한 유효 건물 중량
(3) 지진시 지진에 의한 수직 증가력은 약식방법으로 수평가진력의 1/2의 값을 적용할 수 있다. 정밀 구조계산서가 있는 경우는 계산서를 적용한다.
kN
➀ 일반적으로 지하구조물에 대한 지진해석 및 내진설계를 위한 지진토압은 응답변위법, 시간이력해석법을 이용하여 계산할 수 있다.
➁ 지표면으로부터 기반암까지 토사의 깊이가 15.0m 이내이고, 지표면으로부터 지하구조물 기초의 저면까지의 깊이가 토사 깊이의 2/3 이하인 경우 지진토압은 ➀에서 기술된 두 가지 방법 이외에 추가로 등가정적법을 적용하여 구할 수 있다. 등가정적법에 의한 지진토압은 지표면에서 지하구조물 저면까지 깊이가 증가함에 따라 선형으로 증가하는 토압분포를 가지며 다음 식으로 구한다.
여기서,
:등가정적법에 의한 지하구조물의 지하외벽에 작용하는 지진토압의 합력
kN/m
kN
:지하외벽과 접하는 토사지반의 평균 단위중량
:지표면에서 지하외벽의 저면까지의 깊이
:지진토압계수
![]()
: 해당지반 지표면에서의 최대유효지반가속도
![]()
:유효지반가속도
:[표 4.6]의 단주기 지반증폭계수
1.4 기초 접지압 산정
1.4.1 상시
상시에 대한 하중은 다음과 같이 산정한다.
kN
여기서,
:설계용접지압(kN/m2)
:기초자중을 포함한 기초판에 작용하는 수직하중(kN)
:기초판의 저면적(m2)
1.4.2 지진시
편심하중을 받는 기초의 접치압은 하중조합계수를 고려하여 다음과 같이 산정하며, 우선 편심에 의한 접지압계수를 산정한다.
➀ 약식법 : ![]()
➁ 강도설계법 적용시 :
kN-m
![]()
![]()


기초 접지압 산정방법
|
|
편심하중에 대한 보정 (구조물기초설계기준해설, (사)한국지반공학회, 2018.3)
1.5 기초지반 지지력 평가
1.5.1 문헌에 의한 허용지내력
기초설계는 지반조건, 구조물의 특성, 시공환경, 공기 등이 적합하고, 경제적으로 유리한 형식을 선정해야 한다. 기초의 계획심도에 따른 지반의 허용지지력은 지반조사의 표준관입시험 값인 N치를 기본으로 허용지지력을 다음과 같이 개략적으로 추정할 수 있다.
지반의 추정허용지지력
|
기초지반의 종류 |
상시 (kPa) |
지진시 (kPa) |
목표하는 값 |
비 고 |
||
|
N치 |
일축압축강도 qu(kPa) |
|||||
|
암 반 |
균열이 적은 균일한 사암 |
2500 |
3750 |
- |
10000이상 |
- |
|
균열이 많은 경암 |
1000 |
1500 |
- |
10000이상 |
||
|
연암, 풍화암 |
600 |
900 |
- |
1000이상 |
||
|
자갈층 |
밀실한 것 |
600 |
900 |
- |
- |
|
|
밀실하지 않은 것 |
300 |
450 |
- |
- |
표준관입시험의 N치가 15이하인 경우에는 기초지반으로서 부적당 |
|
|
사질지반 |
밀실한 것 |
300 |
450 |
30~50 |
- |
|
|
보통의 것 |
200 |
300 |
15~30 |
- |
||
|
점성토지반 |
몹시 단단한 것 |
200 |
300 |
15~30 |
200~400 |
|
|
단단한 것 |
100 |
150 |
8~15 |
100~200 |
||
|
보통의 것 |
50 |
75 |
4~8 |
25이하 |
||
※ ➀ 도로설계 오령 제2권 P472, 도로설계실무편람(토질 및 기초) p222
➁ 암반의 허용지지력은 도로교 표준시방서(p623) 기준임
지반의 종류에 따른 허용지지력(
)
|
지 반 |
|
N치 |
지 반 |
|
N치 |
|||
|
경 암 연 암 약간 또는 반고결의 이암 |
1000 500 300 |
100이상 50이상 30이상 |
점토질 지반 |
매우단단 단 단 중간 것 연한 것 매우연한것 |
20 10 5 2 0 |
15~30 8~15 4~8 2~4 0~2 |
||
|
자갈층 |
밀 실 밀실하지 않은것 |
600
300 |
- |
|||||
|
사질 지반 |
조 밀 중 간 느 슨 매우느슨 |
300 100~200 50 0 |
30~50 10~30 5~10 5이하 |
Loam |
단 단 약간단단 연한 것 |
15 10 5 |
5이하 3~5 3이하 |
|
|
토목구조물의 설계 |
||||||||
1.5.2 설계식에 의한 허용지지력
가. 상시
(1) 지반의 허용지지력은 다음 식으로 산정한다.
- 허용지지력:
여기서,
:허용지지력(kN/m2)
:기초저면 하부지반의 점착력(kN/m2)
:기초저면 하부지반의 단위체적중량(kN/m3)
:기초저면 상부지반의 단위체적중량(kN/m3)
(
,
:지하수위 위치를 고려하여 단위체적중량 값을 환산한다.)
,
:[표 4.10]에 표시한 형상계수
,
,
: [표 4.11]에 표시한 지지력계수 내부마찰각
의 함수
:기초에 근접한 최저지반에서 기초저면까지의 깊이(m), 인접 대지에서 흙파기를 시행할 경우가 예상될 때에는 그 영향을 고려하여야 한다.
:기초저면의 최소폭(m), 원형일 때에는 지름
형상계수
|
기초저면의 형상 |
연속 |
정방형 |
장방형 |
원형 |
|
|
1.0 0.5 |
1.3 0.4 |
1.0+0.3 0.5-0.1 |
1.3 0.3 |
|
* |
||||
지지력계수
|
|
|
|
|
|
0° |
5.7 |
0.0 |
1.0 |
|
5° |
7.3 |
0.5 |
1.6 |
|
10° |
9.6 |
1.2 |
2.7 |
|
15° |
12.9 |
2.5 |
4.4 |
|
20° |
17.7 |
5.0 |
7.4 |
|
25° |
25.1 |
9.7 |
12.7 |
|
30° |
37.2 |
19.7 |
22.5 |
|
35° |
57.8 |
42.4 |
41.4 |
|
40° |
95.7 |
100.4 |
81.3 |
|
45° |
172.3 |
297.5 |
173.3 |
|
48° |
258.3 |
780.1 |
287.9 |
|
50° |
347.5 |
1153.2 |
415.1 |
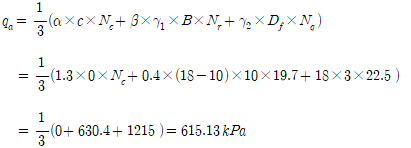
(2) N=20,
=30 일때
➀ 특별한 시험값이 없고 N값만 조사한 경우는 보수적으로
을 적용한다.
= 30
➁ 별도의 시험을 하지 않고 N 값만 있는 경우는 C=0로 간주한다. 표에 없는 값은 다음 식을 이용하여 산정하여도 된다.
![]()
![]()
![]()
= 22.5
= 19.7
= 37.2

나. 지진시
(1) 지진시에 대한 기준은 명확하게 제시되어 있지 않으며, 지진시 내부마찰각은 평상시보다 2도 작고, 유효폭이 감소하는 식으로 응용하여 적용하면 다음과 같다.
= 30° - 2 = 28
= 10 - (2 × 1.2022) = 7.5956
= 18.7
= 15.7

1.6 건축물 침하 평가
1.6.1 상시
침하는 즉시침하와 압밀침하에 대한 검토를 수행하여야 한다. 일반적으로 건축에서는 즉시침하와 압밀침하를 정확히 구별하지 못하여 건축물이 시공된 후 시간이 지난 다음 부등침하 또는 압밀침하로 건축물의 손상이 발생되는 경우가 있다. 건축물의 장기적인 안정을 위해서는 반드시 수행하여야 한다.
단순한 공학적인 용어로 정리하면 다음과 같다.
- 즉시침하 : 전단변형 또는 탄성침하
- 압밀침하 : 압축변형 또는 수축침하
가. 즉시침하
즉시침하는 간단하게 다음 식으로 간략하게 산정할 수 있다. 다음 식은 하부 지층이 단일지층 또는 다층지반을 단일지층으로 가정하여 산정할 수 있기 때문에 설계에 직접 사용하기는 어려울 수 있으며, 예비검토로 사용할 수 있다.
![]()
여기서,
:즉시침하량(m)
:기초저면의 형상과 강성에 따라 정해지는 계수, 표 4.1-3 참조
:기초에 작용하는 단위면적당 하중(kN/m2)
:기초의 단변길이(원형의 경우는 지름)(m)
:기초의 장변길이(m)
:지반의 탄성계수(kN/m2)
:지반의 포아송비
침하계수
(유연한 기초의 경우)
|
기초저면 형상 |
기초저면 상의 위치 |
|
|
|
원형(지름 |
중앙 |
1.00 |
|
|
장방형 |
|
중앙 |
1.12 |
|
1.5 |
1.36 |
||
|
2.0 |
1.52 |
||
|
2.5 |
1.68 |
||
|
3.0 |
1.78 |
||
|
4.0 |
1.96 |
||
|
5.0 |
2.10 |
||
|
10.0 |
2.54 |
||
암반의 변형계수인
은 현장시험과 실내시험의 결과를 바탕으로 결정되어야 한다. 또는
은 암질지수(RQD)로부터 계산된 암반의 불연속면의 빈도를 고려한 저항계수
와 일축압축시험으로부터 구한 신선암의 탄성계수
를 곱하여 다음과 같이 구할 수 있다(Gardner, 1987).
![]()
여기서, ![]()
- 탄성계수 : N=20, ![]()
= 53.4mm > 25mm ....... ∴ N.G
따라서, N=20인 경우는 지지력은 안전하나, 지반의 즉시침하가 문제되므로 N=20인 경우에는 5층 건축물을 세우는 되는 문제가 있다.
미 해군성(1982)과 Bowles(1988) 이후에 수정된 다양한 흙에 대한 변형계수
|
흙의 종류 |
값의 전형적인 범위 |
포아송비
|
N값을 이용한 |
|
|
변형계수, |
흙의 종류 |
|
||
|
점성토: 부드럽고 민감 중간정도 굳거나 굳음 매우 굳음 |
2.4~15 15~50
50~100 |
0.4~0.5 (비배수) |
실트, 사질토질 실트, 약간의 점착력 혼합토
매우 가늘거나 중간정도의 사질토와 약간의 실트질 사질토
굵은 사질토와 약간의 자갈이 섞인 사질토
사질토질의 자갈과 자갈 |
0.4
0.7
1.0
1.1 |
|
황토 실트 |
15~60 2~20 |
0.1~0.3 0.3~0.35 |
사질토질의 자갈과 자갈 |
1.1 |
|
가는 사질토: 느슨 중간 조밀 |
7.5~10 10~20 20~25 |
0.25 |
|
|
|
부드럽고 민감한 점성토 중간정도 굳거나 굳은 점성토 매우 굳은 점성토 |
400 1500
3000 |
|||
|
사질토: 느슨 중간 조밀 |
10~25 25~50 50~75 |
0.20~0.35
0.30~0.40 |
||
|
자갈: 느슨 중간 조밀 |
25~75 75~100 100~200 |
0.2~0.35
0.3~0.4 |
|
|
|
사질토질의 흙 |
4 |
|||
나. 압밀침하
압밀침하량 산정은 다음 식에 따른다. 단, 압축지수
, 압밀계수
를 알 수 있는 경우 침하량을 별도 식으로 산정할 수 있다.
![]()
여기서,
:침하량(m)
:침하량을 산정하는 점에서 연직하방으로 측정한 깊이(m)
:응력
에 대응하는 간극비
:응력
(=
+
)에 대응하는 간극비
:건물시공 이전의 Z점에서 유효지중응력(kN/m2)
![]()
:건물시공 이후의 Z점에서 유효지중응력(kN/m2)
![]()
여기서,
:지반의 습윤단위체적중량(kN/m3)
:지반의 수중단위체적중량(kN/m3)
:지하수위(지표면에서 지하수위 상단까지의 깊이, m)
: 지표면에서 임의의 점까지의 깊이(m)
위 식에서
는 다음식으로 산정된다.
![]()
건축에 의한 지반 응력 증가되는 깊이 H=1.5B로 하면, 압밀침하는 다음과 같이 산정할 수 있다.
![]()
건축물기초를 압밀이 발생하는 지반에 설치하는 것은 아주 특수한 상황으로 그러한 경우는 지반의 압축지수 또는 하중에 대한 간극비 변화 시험을 수행하여 압밀침하를 산정한다.
그렇지 않은 경우, 압밀이 발생될 가능성이 높은 지반에서는 말뚝기초 또는 지반개량을 통하여 압밀침하가 발생하지 않도록 하고 설계한다.
4.6.2 지진시 및 지층을 고려한 상세 침하 검토
지진시 하중분포는 다음과 같으며, 이러한 경우는 단순식으로 침하량 산정이 불가능하다. 또한 지반의 지층이 대부분 다층이어서 지층별 침하량이 다를 수 있다.

지진시 건축물의 토압
이러한 경우 지중응력을 산정하여 침하량을 산정하는 방법을 적용한다.
건축구조 설계기준에서는 기초의 연직하중에 따라 생기는 지중응력의 연직방향성분은 다음 식에 따라 산정하도록 되어 있다.
![]()
여기서,
:지중의 임의점에서의 연직응력증분(kN/m2)
:지표면에 작용하는 연직집중하중(kN)
:지표면에서 임의의 점까지의 깊이(m)
:하중의 작용점에서 임의의 점까지의 거리(m)
위의 식을 이용하여 지진시 발생되는 수직 증가 지진하중과 수평지진력에 의한 삼각형 하중의 지반 응력 증분을 다음과 같이 산정할 수 있다.

수직 증가 지진하중과 수평지진력에 의한 삼각형 하중
![]()
단, 연직하중이 (–)인 경우는 0으로 한다. Pij값은 기초를 적당한 개수로 나누어 산정한다.
![]()
이러한 경우 단순 산술식으로는 풀기가 어려우면 전산해석을 이용하여야 한다.
- 지진하중에 의한 하중분포 산정
➀ 지진시 수직하중 및 접지압
= 0.5×0.14×7500=525 kN
= 525 / 100 = 5.25 kPa
➁ 수평 지진하중에 대한 접지압
![]()
= 5.25-(6×9647.505/(10×10^2)) = -52.635 kPa
= 5.25+(6×9647.505/(10×10^2)) = 63.135 kPa
![]()
바닥부의 응력 점하중을 다음과 같이 가정하여 프로그램을 이용하여 산정하면 다음과 같다.
바닥부 응력 점하중
|
P_1_1 |
P_1_2 |
P_1_3 |
P_1_4 |
P_1_5 |
P_1_6 |
P_1_7 |
P_1_8 |
P_1_9 |
P_1_10 |
|
P_2_1 |
P_2_2 |
P_2_3 |
P_2_4 |
P_2_5 |
P_2_6 |
P_2_7 |
P_2_8 |
P_2_9 |
P_2_10 |
|
P_3_1 |
P_3_2 |
P_3_3 |
P_3_4 |
P_3_5 |
P_3_6 |
P_3_7 |
P_3_8 |
P_3_9 |
P_3_10 |
|
P_4_1 |
P_4_2 |
P_4_3 |
P_4_4 |
P_4_5 |
P_4_6 |
P_4_7 |
P_4_8 |
P_4_9 |
P_4_10 |
|
P_5_1 |
P_5_2 |
P_5_3 |
P_5_4 |
P_5_5 |
P_5_6 |
P_5_7 |
P_5_8 |
P_5_9 |
P_5_10 |
|
P_6_1 |
P_6_2 |
P_6_3 |
P_6_4 |
P_6_5 |
P_6_6 |
P_6_7 |
P_6_8 |
P_6_9 |
P_6_10 |
|
P_7_1 |
P_7_2 |
P_7_3 |
P_7_4 |
P_7_5 |
P_7_6 |
P_7_7 |
P_7_8 |
P_7_9 |
P_7_10 |
|
P_8_1 |
P_8_2 |
P_8_3 |
P_8_4 |
P_8_5 |
P_8_6 |
P_8_7 |
P_8_8 |
P_8_9 |
P_8_10 |
|
P_9_1 |
P_9_2 |
P_9_3 |
P_9_4 |
P_9_5 |
P_9_6 |
P_9_7 |
P_9_8 |
P_9_9 |
P_9_10 |
|
P_10_1 |
P_10_2 |
P_10_3 |
P_10_4 |
P_10_5 |
P_10_6 |
P_10_7 |
P_10_8 |
P_10_9 |
P_10_10 |
= 11.45 mm
= 18.93 mm
- 지진시 부등침하는 다음과 같다.
= 1/1336 < 1/500
- 지진시 건축물 최상단 움직이는 폭 : 건물의 높이가 18m인 경우
= 18,000×(1/1336) = 13.47mm
- 만약 지층을 고려한 해석을 할 경우는 지중응력 증가식을 이용한다.
![]()
![]()
1.7 허용지내력 평가
1.7.1 상시
허용지지력식을 이용하는 경우는 침하에 대한 검토까지 하여야 한다. 허용침하 25mm를 기준으로 하여 표준관입시험 N값을 이용하여 간략하게 하는 경우는 침하와 지지력을 동시에 검토하여 간략하게 검토할 수 있다.
(kPa) for
and
여기서,
: 허용지내력(kPa)
: 에너지 효율을 고려한 N값(0.75B 평균)
: 기초 폭
: 기초 깊이
= (20/0.06)*((10+0.3)/10)^2*(1+3/10) = 344.79 kPa
1.7.2 지진시
지진시 허용지내력은 상시지내력의 1.5배를 적용한다.
지반의 허용지내력(제18조 관련) (단위 : kN/m2)
|
지 반 |
장기응력에 대한 허용지내력 |
단기응력에 대한 허용지내력 |
|
|
경암반 |
화강암∙석록암∙편마암∙안산암 등의 화성암 및 굳은 역암 등의 암반 |
4000 |
각각 장기응력에 대한 허용지내력 값의 1.5배로 한다. |
|
연암반 |
판암∙편암 등의 수성암의 암반 |
2000 |
|
|
혈암∙토단반 등의 암반 |
1000 |
||
|
자갈 |
300 |
||
|
자갈과 모래와의 혼합물 |
200 |
||
|
모래섞인 점토 또는 롬토 |
150 |
||
|
모래 또는 점토 |
100 |
||
※ 건축물의 구조기준 등에 관한 규칙 [별포 8] <개정 2009.12.31.>
이 방법은 간략하게 산정할 수 있으나. 부등침하에 대한 문제가 될 수 있는 구조물에서는 적용하기 어려우며, 실트질 지반에서는 적용을 금하고 사질지반에 적용하도록 되어 있다.
2. 말뚝기초 설계
1) 직접기초 하중 입력
건축구조계산서에서 기둥에 산정된 값중에 다음의 조건의 값을 찾는다.
① 상시 축력 최대 : 기둥의 축력(P), 전단력(H), 모멘트(M)
② 상시 모멘트 최대 : 기둥의 축력(P), 전단력(H), 모멘트(M)
③ 지진시 축력 최대 : 기둥의 축력(P), 전단력(H), 모멘트(M)
④ 지진시 축력 최소 : 기둥의 축력(P), 전단력(H), 모멘트(M)
지진시 축력 최소일 때 하는 이유는 말뚝에 인장력 발생시 검토조건인 경우를 검토하기 위함이다.
상시조건에 대하여 유한요소해석을 수행하여 말뚝 두부에 발생하는 축력과 전단력을 산정한다.

독립기초 검토조건
2) FEM 해석을 이용한 말뚝 두부 하중 계산
FEM 해석 검토조건
|
조 건 |
P |
M |
V |
비 고 |
|
Load Case 1 |
550 |
16 |
5 |
상시 축력 최대 |
|
Load Case 2 |
350 |
35 |
8 |
상시 모멘트최대 |
|
Load Case 3 |
620 |
125 |
95 |
지진시 축력 최대 |
|
Load Case 4 |
256 |
126 |
95 |
지진시 축력 최소 |
직접기초에 기둥에 작용되는 축력, 모멘트, 전단력을 적용하여 말뚝에 발생하는 부재력을 산정하여 말뚝의 안정성을 평가한다.
- 직접기초 매트 : 3.0m × 6.0m
- 말뚝 간격 : 1.25m
- 말뚝 본수 : 3 × 5 = 15ea
무리말뚝의 FEM 해석
|
직접기초 말뚝 부재력 모델 하중 |
무리말뚝 모델링 |
|
|
|
무리말뚝의 FEM 해석 결과
|
변위 |
축력 |
|
|
|
|
모멘트 |
전단력 |
|
|
|
2.3.2 극한한계상태의 지지력
가. 일반사항
일반적으로 고려하여야 할 지지력에는 다음과 같은 것들이 있다.
➀ 말뚝의 지지력
➁ 말뚝의 인발저항력
➂ 연약한 지층 위에 있는 단단한 층의 말뚝 펀칭에 대한 저항력
➃ 말뚝 재료의 강도
나. 말뚝의 축방향 하중
1) 말뚝 항타나 말뚝재하시험에서 측정한 현장 계측치를 참고로 정적해석 방법에 의해 설계한다. 비슷한 조건을 가진 인접 지반의 말뚝재하시험 결과를 적용할 수도 있다. 말뚝의 지지력은 해석적 방법이나 현장 원위치시험 방법 등으로 산정할 수 있다.
➀ 말뚝의 감가된 지지력
은 다음과 같다.
![]()
또는
![]()
여기서, ![]()
![]()
여기서,
= KDS 11 50 10 (2.5) 표 2.5-2에 규정된 외말뚝의 지지력에 대한 저항계수, 총 저항력에서 선단지지력과 주면마찰력을 구분하지 않음.
= 외말뚝의 지지력(N)
= 말뚝의 선단지지력(N)
= 말뚝의 주면마찰력(N)
= 말뚝의 단위 선단지지력(MPa)
= 말뚝의 단위 주면마찰력(MPa)
= 말뚝 주면면적(㎟)
= 말뚝 선단면적(㎟)
= 선단과 주면 저항을 구별하는 방법일 경우 KDS 11 50 10 (2.5) 표 2.5-2에 규정된 말뚝의 선단지지에 대한 저항계수
= 선단과 주면 저항을 구별하는 방법일 경우 KDS 11 50 10 (2.5) 표 2.5-2에 규정된 말뚝의 주면마찰에 대한 저항계수
➁ 표준관입시험에 의한 값을 적용하는 경우 저항계수는 다음과 같이 정하며, 주로 사용하는 방법이 정역학적 지지력 공식과 한국지반공학회의 SPT 방법으로 0.45를 적용한다.
타입말뚝 저항계수
|
조건 / 지지력 결정 방법 |
저항계수 |
|
|
외말뚝의 연직압축저항력-정역학적 해석법과 정재하시험, |
주면마찰력과 선단지지: 사질토 Nordlund/Thurman 방법 (Hannigan et al., 2005) SPT 방법 (Meyerhof) |
0.45 0.30 |
|
CPT 방법 (Schmertmann) 암반에 선단근입된 경우(Canadian Geotech. Society, 1985) |
0.50 0.45 |
|
2) 표준관입시험(SPT)을 이용한 방법은 사질토 및 비소성 실트에 대해 적용한다.
- 말뚝 선단지지력
➀ 사질토에서 깊이
까지 타입된 말뚝의 공칭 단위 선단지지력은 다음과 같고, 단위는 MPa이다.
![]()
여기서,
![]()
여기서,
= 상재응력
에 대하여 수정한 말뚝 선단근처의 대표적인 SPT 타격횟수(타/300㎜)
= SPT 타격횟수(타/300㎜)
= 말뚝의 폭 또는 직경(㎜)
= 지지층에 관입된 말뚝길이 (㎜)
= 한계 선단지지력으로 사질토인 경우
, 비소성 실트인 경우
을 사용한다(MPa).
➁ 사질토에 설치된 말뚝의 공칭 주면마찰력
는 다음과 같으며, 단위는 MPa이다.
∙ 배토 말뚝
![]()
∙ 비배토 말뚝(예, 형 강말뚝)
![]()
여기서,
= 타입말뚝에 대한 단위 주면마찰력(MPa)
= 말뚝 주면을 따라 얻은 보정하지 않은 평균 SPT 타격횟수(타/300㎜)
2.3.3 암반지지 말뚝
암반층에 지지되는 말뚝의 선단지지력에 대한 저항계수는 KDS 11 50 10 (2.5) 표 2.5-2에 언급된 값을 사용한다. 말뚝 폭(또는 직경)과 암반의 불연속면 간격이 300㎜보다 크거나, 속이 차 있지 않은 불연속면의 폭이 6.4㎜보다 작은 경우, 혹은 흙 또는 암편으로 차있는 불연속면의 폭이 25㎜보다 작은 경우에 대해서 암반에 설치된 타입말뚝의 공칭 단위 선단지지력
(MPa)는 다음 식을 통해 구한다.
![]()
위의 식에서,

![]()
여기서,
= 암석시편의 평균 일축압축강도(MPa)
= 무차원 깊이계수
= [그림 2.3-15]의 무차원 지지력계수
(KDS 11 50 20 : 2018 깊은기초 설계기준(한계상태설계법)
= 불연속면 간격(㎜)
= 불연속면 폭(㎜)
= 말뚝 폭(㎜)
= 암반에 근입된 말뚝의 근입깊이로서 기반암에 위에 놓인 경우 0으로 본다.
= 암반 근입부 말뚝 폭(㎜)
- 설계 계산(예) : N=40, 지지층 6.0m인 경우 지지력 산정
➀ 선단지지력
![]()
![]()
![]()
![]()
![]()
➁ 주면마찰력
![]()
➂ 강도설계법에 의한 설계지지력
![]()
3. 일반 PHC 말뚝의 설계 강도 산정
1. 설계기준
PHC말뚝은 콘크리트 기준에서 다음 두가지를 따른다.
- KDS 14 20 60 : 2016 프리스트레스 콘크리트구조설계기준
- KDS 14 20 64 : 2016 구조용무근콘크리트 설계기준
가. KDS 14 20 60 : 2016 프리스트레스 콘크리트구조설계기준
3.1.2 설계 가정
(1)휨모멘트와 축력을 받는 프리스트레스트콘크리트 부재의 강도설계는 KDS 14 20 20(4.1.1)의 가정에 따라야 한다. 다만, KDS 14 20 20(4.1.1,(4))의 규정은 긴장되지 않은 보강철근에만 적용하여야 한다.
(2)프리스트레스를 도입할 때, 사용하중이 작용할 때, 그리고 균열하중이 작용할 때의 응력계산은 다음과 같은 가정에 근거한 선형탄성이론에 따라야 한다.
① 변형률은 중립축에서 떨어진 거리에 비례한다.
② 균열단면에서 콘크리트는 인장력에 저항할 수 없다.
(3)프리스트레스트콘크리트 휨부재는 미리 압축을 가한 인장구역에서 사용하중에 의한 인장연단응력
에 따라 다음과 같이 비균열등급, 부분균열등급, 완전균열등급으로 구분된다.
① 비균열등급 : ![]()
② 부분균열등급 : ![]()
③ 완전균열등급 : ![]()
그리고 2방향 프리스트레스트콘크리트 슬래브는
를 만족하는 비균열등급 부재로 설계되어야 한다.
(4)비균열등급과 부분균열등급 휨부재의 사용하중에 의한 응력은 비균열단면을 사용하여 계산하여야 한다. 완전균열단면 휨부재의 사용하중에 의한 응력은 KDS 14 20 30(4.2.3(2))에 따라 균열 환산단면을 사용하여 계산하여야 한다.
(5)프리스트레스트콘크리트 휨부재의 처짐은 KDS 14 20 30(4.2.3)에 따라 계산하여야 한다.
나. KDS 14 20 64 : 2016 구조용무근콘크리트 설계기준
3.2 강도
(1)휨모멘트를 받는 단면의 설계는 식 (4.2-1)의 조건에 만족하도록 하여야 한다.
(4.2-1)
여기서, 인장이 지배적일 경우에
은 식 (4.2-2)에 의하여 계산되며, 압축이 지배적일 경우에는 식 (4.2-3)에 의해 계산한다.
(4.2-2)
(4.2-3)
여기서,
은 단면계수이다.
(2)압축력을 받는 단면의 설계는 식 (4.2-4)의 조건에 만족하도록 하여야 한다.
(4.2-4)
여기서,
은 식 (4.2-5)에 의하여 계산되는 공칭축강도이다.
(4.2-5)
여기서,
은 재하면적이다.
(3)휨모멘트와 축력을 동시에 받고 있는 부재는 압축면에서 식 (4.2-6)을 만족하도록 설계하여야 한다.
(4.2-6)
그리고 인장면에서 식 (4.2-7)을 만족하여야 한다.
(4.2-7)
(4)전단력에 대한 직사각형 단면의 설계는 식 (4.2-8)의 조건에 만족하도록 하여야 한다.
(4.2-8)
여기서,
은 식 (4.2-9), 식 (4.2-10)에 따라 계산하여야 한다.
① 보작용에 대해서 :
(4.2-9)
② 2방향 작용에 대해서 :
(4.2-10)
여기서,
는 집중하중 또는 반력부의 단변 길이에 대한 장변 길이의 비이다.
(5)압축력을 받는 지압부의 설계는 식 (4.2-11)의 조건에 만족하도록 하여야 한다.
(4.2-11)
여기서,
는 계수지압력이고,
은 식 (4.2-12)에 따라 계산되는 재하면적
의 공칭지압강도이다.
(4.2-12)
모든 면에서 받침부의 면적이 재하면적보다 넓은 경우를 제외하고, 재하면적의 공칭지압강도
에 2를 초과하지 않는 범위 내에서
를 곱하여 구할 수 있다.
(6)이 기준에서 경량콘크리트에 대한 수정계수
는 특별히 언급되지 않는 한 KDS 14 20 10(4.4)에 따른다.
3.3 벽체
3.3.1 설계 일반
(1)구조용 무근콘크리트 벽체는 지반, 기초판, 기초벽, 지중보 또는 수직연속지지 부재로 거동할 수 있는 다른 구조 부재에 의해 연속으로 지지되어야 한다.
(2)구조용 무근콘크리트 벽체는 벽체가 받고 있는 연직하중, 횡하중 그리고 다른 모든 하중을 고려하여 설계하여야 한다.
(3)구조용 무근콘크리트 벽체는 축하중에 의해 발생되는 최대 계수휨모멘트에 대응하는 편심에 대하여 설계하여야 한다. 이때 편심은
이상이다. 만약 모든 계수축력의 합력이 벽체 전체 두께의 중앙 1/3 이내에 위치하는 경우 4.2(2) 또는 4.3.2에 따라 설계할 수 있다. 그렇지 않은 경우 벽체의 설계는 4.2(3)에 따라야 한다.
(4)전단에 대한 설계는 4.2(4)에 따라야 한다.
:단면의 전체 면적, mm2
:재하면적, mm2
:윗면이 재하되고 측면 기울기가 수직 1에 대하여 수평 2인 지점 내부에 완전한 형태로 구성되는 피라미드, 원추 또는 쐐기의 가장 큰 절단체 밑면의 면적, mm2
:부재폭, mm
:기초판에서 전단에 대한 위험단면의 둘레길이, mm
:재하면적
의 공칭지압강도
:콘크리트의 설계기준압축강도, MPa
:부재의 전체 두께, mm
:받침점 사이의 수직거리, mm
:단면의 공칭휨강도
:단면의 계수휨모멘트
:단면의 공칭축강도
:4.3에 의해 설계된 벽체의 공칭축강도
:주어진 편심에 대한 계수축력
:단면계수, mm3
:단면의 공칭전단강도
:단면의 계수전단력
:집중 또는 반력의 작용면에서 짧은 변에 대한 긴 변의 비
:경량콘크리트계수(KDS 14 20 10(4.4) 참조)
2. 일반 PHC 공칭강도 설계
일반 PHC말뚝은 구조용 무근 콘크리트로서 강도설계법을 따라 설계하여야 하며, 프리스트레스 하중은 공칭 하중으로 산정하여야 한다. 각 조건에서의 하중조합표에 따른다.
![]()
위의 식에서 계수하중에 의한 축력을 다음의 하중조합표에서 사하중D의 계수 하중을 곱하여 추가한다.
![]()
1.5.1 강도설계법 또는 한계상태설계법의 하중조합
(1) 강도설계법 또는 한계상태설계법으로 구조물을 설계하는 경우에는 다음의 하중조합으로 소요강도를 구하여야 한다.
|
|
(1.5-1) (1.5-2) (1.5-3) (1.5-4) (1.5-5) (1.5-6) (1.5-7) |
PHC말뚝의 공칭 강도는
은 무근콘크리트의 휨모넨트와 압축을 받는 구조로 감소계수 0.55를 적용하여 산정한다.
⑧ 무근콘크리트의 휨모멘트, 압축력, 전단력, 지압력 0.55
3.3 설계강도
(1) 구조물의 부재, 부재 간의 연결부 및 각 부재 단면의 휨모멘트, 축력, 전단력, 비틀림모멘트에 대한 설계강도는 이 기준의 규정과 가정에 따라 정해지는 공칭강도에 다음 (2)의 강도감소계수
를 곱한 값으로 하여야 한다.
(2) 강도감소계수는 다음 규정에 따라야 한다.
① KDS 14 20 20(4.1.2(4))에 정의된 인장지배단면 0.85
② KDS 14 20 20(4.1.2(3))에 정의된 압축지배단면
가. 나선철근 규정에 따라 나선철근으로 보강된 철근콘크리트 부재 0.70
나. 그 외의 철근콘크리트 부재 0.65
다. 공칭강도에서 최외단 인장철근의 순인장변형률
가 압축지배와 인장지배단면 사이일 경우에는,
가 압축지배변형률 한계에서 인장지배변형률 한계로 증가함에 따라
값을 압축지배단면에 대한 값에서 0.85까지 증가시킨다.
③ 전단력과 비틀림모멘트 0.75
④ 콘크리트의 지압력(포스트텐션 정착부나 스트럿-타이 모델은 제외) 0.65
⑤ 포스트텐션 정착구역 0.85
⑥ 스트럿-타이 모델에서
가. 스트럿, 절점부 및 지압부 0.75
나. 타이 0.85
⑦ 긴장재 묻힘길이가 정착길이보다 작은 프리텐션 부재의 휨 단면
가. 부재의 단부부터 전달길이 단부까지 0.75
나. 전달길이 단부부터 정착길이 단부 사이의
값은 0.75에서 0.85까지 선형적으로 증가시킨다. 다만, 긴장재가 부재 단부까지 부착되지 않은 경우에는 부착력 저하 길이의 끝부터 긴장재가 매입된다고 가정하여야 한다.
⑧ 무근콘크리트의 휨모멘트, 압축력, 전단력, 지압력 0.55
공칭강도는 다음과 같이 산정할 수 있다.
![]()
:부재의 전체 두께, mm
:받침점 사이의 수직거리, mm
:재하면적, mm2
:콘크리트의 설계기준압축강도, MPa
말뚝길이 L=10m인 경우 양단 고정으로 가장하면 0.5L로 산정한다.
mm
말뚝 D=500mm, t=80mm인 경우 다음과 가탇.
= 78.5MPa
4479711 N
공칭강도는 다음과 같다.
프리텐션에 대한 강도를 미리 고려한다면 다음과 같이 할 수 있다.
|
종류 |
T(Mpa) |
A(mm2) |
Pt(kN) |
1.4Pt(kN) |
공칭설계강도(kN) |
|
TYPE-A |
3.92 |
105600 |
413.952 |
579.532 |
1883.87 |
|
TYPE-B |
7.85 |
105600 |
828.960 |
1160.544 |
1302.86 |
|
TYPE-C |
9.81 |
105600 |
1035.936 |
1450.310 |
1013.09 |

압축력과 휨력이 동시에 받는 경우는 다음과 같이 산정된다.
말뚝은 대부분 압축이 지배적인 경우가 많다. 압축 지배인 경우는 다음과 같다.
![]()
여기서 모멘트 강도는 압축지배인 경우 다음과 같이 산정한다.
![]()
말뚝읜 단면계수는 다음과 같이 산정한다.
![]()

일반 PHC공칭 모멘트 강도는 다음과 같다.
![]()
공칭 모멘트 강도는 다음과 같이 산정한다.
![]()
따라서 지진시 일반 PHC말뚝의 공칭 강도는 다음과 같다.
![]()
![]()
![]()
따라서, 계수축력이 Pu = 1200 kN, 계수모멘트 Mu = 120 kN-m인 경우 다음과 같다.
![]()
&nbsnbsp; ![]()
일반 PHC말뚝은 지진발생시 최대 설계 강도는 계수축력
Pu = 1000kN, 계수모멘트 Mu=100 kN-m로 계획 하여여 한다.
4. 말뚝 자체 안정성 검토 해석
말뚝해석에서 수직력 1000kN과 수평력 100kN이 작용되는 경우 축력 1000kN과 모멘트 103.97 kN-m산정된다.

일반 PHC말뚝은 지진 작용시 이 이상의 경우에는 NG로 파괴된다.
4. 삼축내진말뚝 기초 설계
4.1 설계절차
삼축내진말뚝 설계절차는 다음과 같다.
① 건물의 하중 산정
② 설계 접지압 산정
③ 상시, 지진시에 대한 두부의 적용하중 산정
④ 삼축내진말뚝 두부 하중 적용에 따른 부재력 검토(트러스 구조)
⑤ 말뚝의 최대 축려에 대한 지지력 검토
4.2 말뚝 두부 하중 산정
4.2.1 소규모 주택에 대한 하중 산정
약식계산에서는 말뚝에 직접적으로 적용되는 하중으로 검토하면 다음과 같다.
- 사하중 : 건물하중 D
- 지진토압 : H(Pae)
- 수직 지진하중 : Ev
- 수평 지진하중 : Eh

지진시 건축물의 토압
4.2.2 하중조합
|
- 강도설계법 적용시 ➀ 1.4D ② 1.2D + 1.0E ③ 0.9D + 1.0E |
- 허용응력 설계법 적용시 ➀ 1.0D ② D + 0.7E ③ 0.6D + 0.7E |
4.2.3 적용하중 계산
- 건축물 : 지상 5층, 지하 1층, 층높이 3m 적용
- 기초폭 : B=10m, L=10m
- 건축물단위면적당 무게 : 15kN/m²
➀ 건축물 사하중 :
➁ 수직 지진하중 : ![]()
➂ 수평 지진하중 : ![]()
➃ 지진토압 :
![]()
![]()
가. 하중조합별 검토
➀ 1.4D : 상시
- 설계하중 : 1.4 × 9000 = 12600 kN
② 1.2D + 1.0E : 지진시
- 설계수직하중(Pv) : 1.2 × 9,000 + 1.0 × 630 = 11,400.00 kN
- 설계수평하중(Ph) : 1.0 × 1,260 + 1.0 × 131.67 = 1,391.67 kN
③ 0.9D + 1.0E : 지진시
- 설계수직하중(Pv) : 0.9 × 9,000 + 1.0 × 630 = 8,730.00 kN
- 설계수평하중(Ph) : 1.0 × 1,260 + 1.0 × 131.67 = 1,391.67 kN
나. 접지압 분포
➀ 1.4D : 상시
- 접지압 : 12600 / 100 = 126 kPa
② 1.2D + 1.0E : 지진시
- 설계수직하중(Pv) : 11,400 kN
- 설계수평하중(Ph) : 1,391.67 kN
- 회전모멘트(M) : 1.0 × 1,260 × 9 + 1.0 × 131.67 × 1.5 = 11,537.505 kN-m
- 최소접지압 :
= 44.77 kPa
- 최대접지압 :
= 183.22 kPa
③ 0.9D + 1.0E : 지진시
- 설계수직하중(Pv) : 8730 kN
- 설계수평하중(Ph) : 1391.67 kN
- 회전모멘트(M) : 1.0 × 1260 × 9 + 1.0 × 131.67 × 1.5 = 11537.505 kN-m
- 최소접지압 :
= 18.07 kPa
- 최대접지압 :
= 156.52 kPa
다. 말뚝 두부 하중 산정
➀ 상시
- 수직하중 :
= 126 × 1.25 × 1.25 = 196.87 kN
➁ 지진시
- 최대 수직하중 :
= 183.22 × 1.25 × 1.25 = 286.28kN
- 최소 수직하중 :
= 18.07 × 1.25 × 1.25 = 28.23 kN
- 최대 수평하중 :
= 1391.67 / 25 = 55.67 kN
여기서,
: 말뚝 총 본수
4.3 말뚝 부재력 산정
삼축 내진말뚝은 위에서 산정한 말뚝의 두부에 발생되는 하중을 이용하여 말뚝 개별 부재력을 산정한다.
- 최대 수직하중 : 286.28 kN 재하
- 최대 수평하중 : 28.23 kN 재하
말뚝 부재력 결과
|
변위 : 3.52mm |
축력 : 134.7kN |
|
|
|
|
모멘트 : 0.21kN-m |
전단력 : 0.04kN |
|
|
|
4.4 말뚝 부재력 안정성 검토
강관의 경우 말뚝 부재 응력에 대한 안정성 검토는 KDS 41 30 00 : 2019기준을 따르며, 삼축내진말뚝은 두부가 고정되어 있는 압축부재로 다음과 같이 안정성을 검토한다.
- 설계 압축 강도 : ![]()
= 550MPa,
= 690MPa,
(부식두께 2mm고려)
(K = 0.5, 양쪽 구속조건)
(
)
![]()
![]()
좌굴길이계수
|
이동에 대한 조건 |
구 속 |
자 유 |
||||
|
회전에 대한 조건 |
양단자유 |
양단구속 |
1단 자유 타단구속 |
양단구속 |
1단 자유 타단구속 |
|
|
단부의 지지상태에 따른 좌굴형태 |
|
|
|
|
|
|
|
Lk |
이론치 |
L |
0.5L |
0.7L |
L |
2L |
|
추정치 |
L |
0.65L |
0.8L |
1.2L |
2.1L |
|
- 말뚝의 설계축력
= 665kN > 발생축력 134.7kN ....... ∴ O.K
4.5 말뚝 지지력 및 침하 검토
건축구조기준에서 말뚝의 침하량은 생략할 수 있다고 되어 있으며, 지반이 연약한 경우는 침하량을 산정한다. 말뚝의 지지력은 일반 말뚝 계산과 동일하게 검토한다.
4.5.1 검토조건
- N=40, 지지층이 6.0m인 경우 지지력 산정
- 말뚝의 설계 축력
= 665kN
4.5.2 말뚝의 선단지지력 검토
kPa
![]()
MPa
MPa
MPa
4.5.3 말뚝의 주면마찰력
MPa
MPa
4.5.4 강도설계법에 의한 설계지지력
MPa = 976 kN
4.5.5 말뚝의 지지력 검토결과
앞에서 산정한 개별 말뚝의 최대 축력이 지지력 값 이하이면 안정하다.
= 976kN >
> ![]()
설계하중에 의한 말뚝에 발생된 최대 축력
보다 말뚝 설계 축력
이 크므로 말뚝의 파괴는 발생하지 않으며, 강도설계법에 의한 설계지지력
= 976 kN 이 발생된 최대 축력 이상이므로 말뚝의 지지력은 안정한 것으로 검토되었다.
5. 삼축내진말뚝을 활용한 복합기초 설계
5.1 개요
건축물 설계에서, 지반이 양호한 지반에서 직접기초로 하는데 지반의 지지력이 약간 부족한 경우 말뚝기초로 보강하여 직접기초+말뜩기초(Piled Raft Foundation)를 적용할 수 있다.
이 경우는 직접기초 계산과 말뚝기초 계산을 동시에 수행하여야 하며, 지반이 연약한 지반에는 적용하지 않는 것이 합리적이다.
예를 들면 직접기초의 지압응력 대비 지반의 지지력 비율이 30% 이내인 지반은 최소한 풍화토 이상, N=30이상에 적용해야 말뚝과 지반의 강성비 차이에 의한 문제점이 발생하지 않는다. 또는 지지력은 만족하는데 침하에서 만족하지 않는 경우 보강이 필요하다.
5.2 직접기초 접지압 산정
5.2.1 소규모 주택에 대한 하중 산정
약식계산에서 말뚝에 직접적으로 적용되는 하중으로 검토하면 다음과 같다.
- 사하중 : 건물하중 D
- 지진토압 : H(Pae)
- 수직 지진하중 : Ev
- 수평 지진하중 : Eh

지진시 건축물의 토압
5.2.2 하중조합
- 강도설계법 적용시
➀ 1.4D
② 1.2D + 1.0E
③ 0.9D + 1.0E
- 허용응력 설계법 적용시
➀ 1.0D
② D + 0.7E
③ 0.6D + 0.7E
5.2.3 적용하중 계산
- 건축물 : 지상 5층, 지하 1층, 층높이 3m 적용
- 기초폭 : B=10m, L=10m
- 건축물단위면적당 무게 : 15kN/m²
➀ 건축물 사하중 :
➁ 수직 지진하중 : ![]()
➂ 수평 지진하중 : ![]()
➃ 지진토압 :
kN/m
kN
![]()
![]()
가. 하중조합별 검토
➀ 1.4D : 상시
- 설계하중 : 1.4 × 9000 = 12600 kN
② 1.2D + 1.0E : 지진시
- 설계수직하중(Pv) : 1.2 × 9,000 + 1.0 × 630 = 11,400.00 kN
- 설계수평하중(Ph) : 1.0 × 1,260 + 1.0 × 131.67 = 1,391.67 kN
③ 0.9D + 1.0E : 지진시
- 설계수직하중(Pv) : 0.9 × 9,000 + 1.0 × 630 = 8,730.00 kN
- 설계수평하중(Ph) : 1.0 × 1,260 + 1.0 × 131.67 = 1,391.67 kN
나. 접지압 분포
➀ 1.4D : 상시
- 접지압 : 12600 / 100 = 126 kPa
② 1.2D + 1.0E : 지진시
- 설계수직하중(Pv) : 11,400 kN
- 설계수평하중(Ph) : 1,391.67 kN
- 회전모멘트(M) : 1.0 × 1,260 × 9 + 1.0 × 131.67 × 1.5 = 11,537.505 kN-m
- 최소접지압 :
= 44.77 kPa
- 최대접지압 :
= 183.22 kPa
③ 0.9D + 1.0E : 지진시
- 설계수직하중(Pv) : 8730 kN
- 설계수평하중(Ph) : 1391.67 kN
- 회전모멘트(M) : 1.0 × 1260 × 9 + 1.0 × 131.67 × 1.5 = 11537.505 kN-m
- 최소접지압 :
= 18.07 kPa
- 최대접지압 :
= 156.52 kPa
5.3 직접기초 지지력 산정
5.3.1 상시
(1) 지반의 허용지지력은 다음 식으로 산정한다.
- 허용지지력:
여기서,
:허용지지력(kN/m2)
:기초저면 하부지반의 점착력(kN/m2)
:기초저면 하부지반의 단위체적중량(kN/m3)
:기초저면 상부지반의 단위체적중량(kN/m3)
(
,
:지하수위 위치를 고려하여 단위체적중량 값을 환산한다.)
,
:[표 7.1]에 표시한 형상계수
,
,
: [표 7.2]에 표시한 지지력계수 내부마찰각
의 함수
:기초에 근접한 최저지반에서 기초저면까지의 깊이(m), 인접 대지에서 흙파기를 시행할 경우가 예상될 때에는 그 영향을 고려하여야 한다.
:기초저면의 최소폭(m), 원형일 때에는 지름
형상계수
|
기초저면의 형상 |
연속 |
정방형 |
장방형 |
원형 |
|
|
1.0 0.5 |
1.3 0.4 |
1.0+0.3 0.5-0.1 |
1.3 0.3 |
|
* |
||||
지지력계수
|
|
|
|
|
|
0° |
5.7 |
0.0 |
1.0 |
|
5° |
7.3 |
0.5 |
1.6 |
|
10° |
9.6 |
1.2 |
2.7 |
|
15° |
12.9 |
2.5 |
4.4 |
|
20° |
17.7 |
5.0 |
7.4 |
|
25° |
25.1 |
9.7 |
12.7 |
|
30° |
37.2 |
19.7 |
22.5 |
|
35° |
57.8 |
42.4 |
41.4 |
|
40° |
95.7 |
100.4 |
81.3 |
|
45° |
172.3 |
297.5 |
173.3 |
|
48° |
258.3 |
780.1 |
287.9 |
|
50° |
347.5 |
1153.2 |
415.1 |
(2) N=20,
=30° 일때
➀ 특별한 시험값이 없고 N값만 조사한 경우는 보수적으로
을 적용한다.
= 30
➁ 별도의 시험을 하지 않고 N 값만 있는 경우는 C=0로 간주한다. 표에 없는 값은 다음 식을 이용하여 산정하여도 된다.
![]()
![]()
![]()
= 22.5
= 19.7
= 37.2

5.3.2 지진시
(1) 지진시에 대한 기준은 명확하게 제시되어 있지 않으며, 지진시 내부마찰각은 평상시보다 2도 작고, 유효폭이 감소하는 식으로 응용하여 적용하면 다음과 같다.
= 30° - 2 = 28°
= 10 - (2 × 1.2022) = 7.5956
= 18.7
= 15.7

5.4 건축물 침하 검토
5.4.1 상시
침하는 즉시침하와 압밀침하에 대한 검토를 수행하여야 한다. 일반적으로 건축에서는 즉시침하와 압밀침하를 정확히 구별하지 못하여 건축물이 시공된 후 시간이 지난 다음에야 부등침하 또는 압밀침하로 건축물의 손상이 발생되는 경우가 있다. 건축물의 장기적인 안정을 위해서는 반드시 수행하여야 한다.
단순한 공학적인 용어로 정리하면 다음과 같다.
- 즉시침하 : 전단변형 또는 탄성침하
- 압밀침하 : 압축변형 또는 수축침하
가. 즉시침하
즉시침하는 간단하게 다음 식으로 간략하게 산정할 수 있다. 다음 식은 하부 지층이 단일지층 또는 다층지반을 단일지층으로 가정하여 산정할 수 있기 때문에 설계에 직접 사용하기는 어려울 수 있으며, 예비검토로 사용할 수 있다.
![]()
여기서,
:즉시침하량(m)
:기초저면의 형상과 강성에 따라 정해지는 계수, 표 4.1-3 참조
:기초에 작용하는 단위면적당 하중(kN/m2)
:기초의 단변길이(원형의 경우는 지름)(m)
:기초의 장변길이(m)
:지반의 탄성계수(kN/m2)
:지반의 포아송비
침하계수
(유연한 기초의 경우)
|
기초저면 형상 |
기초저면 상의 위치 |
|
|
|
원형(지름 |
중앙 |
1.00 |
|
|
장방형 |
|
중앙 |
1.12 |
|
1.5 |
1.36 |
||
|
2.0 |
1.52 |
||
|
2.5 |
1.68 |
||
|
3.0 |
1.78 |
||
|
4.0 |
1.96 |
||
|
5.0 |
2.10 |
||
|
10.0 |
2.54 |
||
암반의 변형계수인
은 현장시험과 실내시험의 결과를 바탕으로 결정되어야 한다. 또는
은 암질지수(RQD)로부터 계산된 암반의 불연속면의 빈도를 고려한 저항계수
와 일축압축시험으로부터 구한 신선암의 탄성계수
를 곱하여 다음과 같이 구할 수 있다(Gardner, 1987).
![]()
여기서, ![]()
- 탄성계수 : N=20, ![]()
= 53.4mm > 25mm ....... ∴ N.G
따라서, N=20인 경우는 지지력은 안전하나, 지반의 즉시침하가 문제되므로 N=20인 경우에는 5층 건축물을 세우는 되는 문제가 있다.
미 해군성(1982)과 Bowles(1988) 이후에 수정된 다양한 흙에 대한 변형계수
|
흙의 종류 |
값의 전형적인 범위 |
포아송비
|
N값을 이용한 |
|
|
변형계수, |
흙의 종류 |
|
||
|
점성토: 부드럽고 민감 중간정도 굳거나 굳음 매우 굳음 |
2.4~15 15~50
50~100 |
0.4~0.5 (비배수) |
실트, 사질토질 실트, 약간의 점착력 혼합토
매우 가늘거나 중간정도의 사질토와 약간의 실트질 사질토
굵은 사질토와 약간의 자갈이 섞인 사질토
사질토질의 자갈과 자갈 |
0.4
0.7
1.0
1.1 |
|
황토 실트 |
15~60 2~20 |
0.1~0.3 0.3~0.35 |
사질토질의 자갈과 자갈 |
1.1 |
|
가는 사질토: 느슨 중간 조밀 |
7.5~10 10~20 20~25 |
0.25 |
|
|
|
부드럽고 민감한 점성토 중간정도 굳거나 굳은 점성토 매우 굳은 점성토 |
400 1500
3000 |
|||
|
사질토: 느슨 중간 조밀 |
10~25 25~50 50~75 |
0.20~0.35
0.30~0.40 |
||
|
자갈: 느슨 중간 조밀 |
25~75 75~100 100~200 |
0.2~0.35
0.3~0.4 |
|
|
|
사질토질의 흙 |
4 |
|||
5.4.2 지진시 및 지층을 고려한 상세 침하 검토
지진시 하중분포는 다음과 같으며, 이러한 경우는 단순식으로 침하량 산정이 불가능하다. 또한 지반의 지층이 대부분 다층이어서 지층별 침하량이 다를 수 있다.

지진시 건축물의 토압
이러한 경우 지중응력을 산정하여 침하량을 산정하는 방법을 적용한다.
건축구조 설계기준에서는 기초의 연직하중에 따라 생기는 지중응력의 연직방향성분은 다음 식에 따라 산정하도록 되어 있다.
![]()
여기서,
:지중의 임의점에서의 연직응력증분(kN/m2)
:지표면에 작용하는 연직집중하중(kN)
:지표면에서 임의의 점까지의 깊이(m)
:하중의 작용점에서 임의의 점까지의 거리(m)
위의 식을 이용하여 지진시 발생되는 수직 증가 지진하중과 수평지진력에 의한 삼각형 하중의 지반 응력 증분을 다음과 같이 산정할 수 있다.

수직 증가 지진하중과 수평지진력에 의한 삼각형 하중
![]()
단, 연직하중이 (–)인 경우는 0으로 한다. Pij값은 기초를 적당한 개수로 나누어 산정한다.
![]()
이러한 경우 단순 산술식으로는 풀기가 어려우면 전산해석을 이용하여야 한다.
- 지진하중에 의한 하중분포 산정
➀ 지진시 수직하중 및 접지압
= 0.5×0.14×7500=525 kN
= 525 / 100 = 5.25 kPa
➁ 수평 지진하중에 대한 접지압
![]()
= 5.25-(6×9647.505/(10×102)) = -52.635 kPa
= 5.25+(6×9647.505/(10×102)) = 63.135 kPa
![]()
바닥부의 응력 점하중을 다음과 같이 가정하여 프로그램을 이용하여 산정하면 다음과 같다.
바닥부 응력 점하중
|
P_1_1 |
P_1_2 |
P_1_3 |
P_1_4 |
P_1_5 |
P_1_6 |
P_1_7 |
P_1_8 |
P_1_9 |
P_1_10 |
|
P_2_1 |
P_2_2 |
P_2_3 |
P_2_4 |
P_2_5 |
P_2_6 |
P_2_7 |
P_2_8 |
P_2_9 |
P_2_10 |
|
P_3_1 |
P_3_2 |
P_3_3 |
P_3_4 |
P_3_5 |
P_3_6 |
P_3_7 |
P_3_8 |
P_3_9 |
P_3_10 |
|
P_4_1 |
P_4_2 |
P_4_3 |
P_4_4 |
P_4_5 |
P_4_6 |
P_4_7 |
P_4_8 |
P_4_9 |
P_4_10 |
|
P_5_1 |
P_5_2 |
P_5_3 |
P_5_4 |
P_5_5 |
P_5_6 |
P_5_7 |
P_5_8 |
P_5_9 |
P_5_10 |
|
P_6_1 |
P_6_2 |
P_6_3 |
P_6_4 |
P_6_5 |
P_6_6 |
P_6_7 |
P_6_8 |
P_6_9 |
P_6_10 |
|
P_7_1 |
P_7_2 |
P_7_3 |
P_7_4 |
P_7_5 |
P_7_6 |
P_7_7 |
P_7_8 |
P_7_9 |
P_7_10 |
|
P_8_1 |
P_8_2 |
P_8_3 |
P_8_4 |
P_8_5 |
P_8_6 |
P_8_7 |
P_8_8 |
P_8_9 |
P_8_10 |
|
P_9_1 |
P_9_2 |
P_9_3 |
P_9_4 |
P_9_5 |
P_9_6 |
P_9_7 |
P_9_8 |
P_9_9 |
P_9_10 |
|
P_10_1 |
P_10_2 |
P_10_3 |
P_10_4 |
P_10_5 |
P_10_6 |
P_10_7 |
P_10_8 |
P_10_9 |
P_10_10 |
= 11.45 mm
= 18.93 mm
- 지진시 부등침하는 다음과 같다.
= 1/1336 < 1/500
- 지진시 건축물 최상단 움직이는 폭 : 건물의 높이가 18m인 경우
= 18,000×(1/1336) = 13.47mm
5.5 말뚝 분담에 대한 말뚝 하중 산정
5.5.1 말뚝 두부 하중 산정
직접기초에 발생되는 접지압 75kPa의 응력에서 기초 침하량은 53mm로 지반에 직접 전달되는 접지압 30kPa일 때 침하량은 다음과 같다.
= 21.4mm < 25mm ....... ∴ O.K
지반에 작용하는 접지압의 45kPa에 해당하는 항에 대한 부분을 말뚝에 전달되도록 계획하여 말뚝기초+직접기초의 형태를 적용한다.
5.5.2 상시
- 수직하중 :
= 45 × 2.5 × 2.5 = 281.25 kN
- 배열 : 4 X 4 = 16 SET
5.5.3 지진시
- 수직하중 :
= 45 × 2.5 × 2.5 = 281.25 kN
- 최대 수평하중 :
= 52.19 kN
여기서,
: 말뚝 총 본수
5.6 말뚝 부재력 산정
삼축 내진말뚝은 위에서 산정한 말뚝의 두부에 발생되는 하중을 이용하여 말뚝 개별 부재력을 산정한다.
- 최대 수직하중 : 281.25 kN 재하
- 최대 수평하중 : 52.19 kN 재하
말뚝 부재력 결과 (1)
|
X 변위 : 6.55mm |
Y 변위 : 1.35mm |
|
|
|
|
축 력 : 164.0kN |
전단력 : 0.06kN |
|
|
|
말뚝 부재력 결과 (2)
|
모멘트 : 0.36kN-m |
합성응력 : 78.48MPa |
|
|
|
5.7 말뚝 부재력 안정성 검토
강관의 경우 말뚝 부재 응력에 대한 안정성 검토는 KDS 41 30 00 : 2019기준을 따르며, 삼축내진말뚝은 두부가 고정되어 있는 압축부재로 다음과 같이 안정성을 검토한다.
- 설계 압축 강도 : ![]()
= 550MPa,
= 690MPa,
(부식두께 2mm고려)
(K = 0.5, 양쪽 구속조건)
(
)
![]()
![]()
좌굴길이계수
|
이동에 대한 조건 |
구 속 |
자 유 |
||||
|
회전에 대한 조건 |
양단자유 |
양단구속 |
1단 자유 타단구속 |
양단구속 |
1단 자유 타단구속 |
|
|
단부의 지지상태에 따른 좌굴형태 |
|
|
|
|
|
|
|
Lk |
이론치 |
L |
0.5L |
0.7L |
L |
2L |
|
추정치 |
L |
0.65L |
0.8L |
1.2L |
2.1L |
|
- 말뚝의 설계축력
= 665.0kN > 발생축력 164.0kN ....... ∴ O.K
5.8 말뚝 지지력 및 침하 검토
건축구조기준에 따르면 말뚝의 침하량은 생략할 수 있다고 되어 있으며, 지반이 연약한 경우는 침하량을 산정한다. 말뚝의 지지력은 일반 말뚝 계산과 동일하게 검토한다.
5.8.1 검토조건
- N=40, 지지층이 6.0m인 경우 지지력 산정
- 말뚝의 설계 축력
= 665kN
5.8.2 말뚝의 선단지지력 검토
kPa
![]()
MPa
MPa
MPa
5.8.3 말뚝의 주면마찰력
MPa
MPa
5.8.4 강도설계법에 의한 설계지지력
MPa = 976 kN
5.8.5 말뚝의 지지력 검토결과
앞에서 산정한 개별 말뚝의 최대 축력이 지지력 값 이하이면 안정하다.
= 976kN >
> ![]()
설계하중에 의한 말뚝에 발생된 최대 축력
보다 말뚝 설계 축력
이 크므로, 말뚝의 파괴는 발생하지 않으며 강도설계법에 의한 설계지지력
= 976 kN 이 발생된 최대 축력 이상이므로 말뚝의 지지력은 안정한 것으로 검토되었다.
6. 소구경 말뚝 공법
6.1 소구경 말뚝의 정의
소구경 말뚝은 직경이 300mm이하의 강관 말뚝을 말하며, 보통 강재와 천공 후 그라우트로 보강되는 말뚝이다.
소구경 말뚝의 구조적 지지능력은 하중의 대부분을 지지하고 있는 고강도 강재에 의존하며, 소구경 말뚝의 크기는 120~170mm이고, 이보다 작은 경우도 있다. 강재의 부피는 굴착공 부피의 절반정도 차지한다고 본다. 소구경 말뚝은 그라운드 앵커와 비슷한 방식으로 그라우트와 지반의 마찰력으로 강재가 지지하는 외부 하중을 지반으로 전달한다.
6.2 소구경 말뚝의 역사
소구경 말뚝은 1950년대 초 이탈리아에서 처음 고안되었다. 이는 역사적인 건물에 손상을 주지 않고 협소한 공간에서 시공하기 유리한 소구경 말뚝이 적용되기 시작하였다.
1960년대는 영국에 소개되었고, 1965에는 독일의 지하 도시 교통망에도 적용되었다. 뿌리말뚝(Root Pile)은 특허 문제로 마이크로 파일로 대체 되었다.
초기의 건축물 보강이 대부분이었으며, 횡방향으로 구속된 지반/말뚝 복합체(Laterally confined soil/pile composite structure)말뚝이 소개되었다.
1973년에는 북미지역에 소개되었고, 1987년 이후 재개발 프로젝트와 함께 급속히 성장하였다.
㈜에스와이텍의 삼축내진말뚝은 기존의 그룹으로 보강되던 구조를 3개의 축으로 한점에 고정하는 방식으로 트러스 구조체를 만들면서 단축 말뚝으로 적용이 가능하도록 개발하였다.
기존에는 그룹으로 하거나 많은 수의 말뚝으로 되어 있어 명확한 하중계산이 어려웠으나, 삼축내진말뚝은 3축 트러스 형태로 결합하는 시스템으로 360도 지진의 방향에 적용될 수 있도록 개발하여 내진 성능에 우수하게 개발하였다.
6.3 소구경 말뚝의 분류
6.3.1 말뚝 구조적 분류
1) 단일지지말뚝
단일지지말뚝은 말뚝에 작용되는 하중으로 작용되도록 하는 방법
2) 지반보강형 말뚝
지반의 강성이 양호한 경우에 강관과 지반과 합성 강성체로 지반을 보강하는 방법
3) 3축지지 말뚝
3개축으로 경사지게 설치하여 수평력에 취약한 마이크로 파일을 수평력에 지지할 수 있도록, 트러스 구조로 하여 단일 하중에 작용할 수 있도록 한 구조.
6.3.2 그라우트 방법에 의한 분류
1) 중력 그라우트 : TYPE-A
2) 가압 그라우트 : TYPE-B
3) 포스트 그라우트 : TYPE-C, D
6.4 소구경 말뚝의 설계법
6.4.1 개요
소구경 말뚝은 주면마찰력과 선단지지력으로 나누어지는데, 선단 부 면적이 작기 때문에 토사층인 경우는 선단지지력은 무시하여도 된다. 선단지지력 효과가 좋은 암반층을 지지층으로 한 경우는 선단지지층 효과가 크므로 고려하는 것이 합리적이다.
현재까지는 KDS코드에는 제시되어 있지 않으며 프랑스 코드와 유로코드의 문헌들이 있지만, 국내에서는 “건설공사설계기준 2006, 비탈면 설계기준”에 제시된 극한 주면 마찰력과 말뚝 선단지지력 식을 이용하여 산정하는 것으로 설계한다.
주입압이 1MPa 이상인 경우는 다음과 같이 전공 직경을 보정해준다. 이는 프랑스 코드에서 참조한 것이다.
![]()
여기서, D : 보정 천공 직경
: 보정계수 1.1~2.0(지반특성에 따름)
마이크로파일과 그라운드 앵커의 종류 및 토질에 따른 보정계수 (CCTG, 1993)
|
Soil type |
|
Coefficient |
|
|
Anchor Type Micropile Tpye |
⇒ ⇒ |
IGU Type C |
IRS Type D |
|
Gravel Sandy Gravel Gravely Sand Coarse Sand Medium Sand Fine Sand Silty Sand Silt Clay Marl |
|
1.3 – 1.4 1.2 – 1.4 1.2 – 1.3 1.1 – 1.2 1.1 – 1.2 1.1 – 1.2 1.1 – 1.2 1.1 – 1.2 1.2 1.1 – 1.2 |
1.8 1.6 – 1.8 1.5 – 1.6 1.4 – 1.5 1.4 – 1.5 1.4 – 1.5 1.4 – 1.5 1.4 – 1.6 1.8 – 2.0 1.8 |
6.4.2 극한주면마찰력
소구경 말뚝은 극한주면마찰력이 중요하다. 현재까지 국내 설계기준 코드는 없으며, “건설공사설계기준 2006, 비탈면 설계기준”에서 소개된 일본에서 적용되고 있던 자료가 현재까지는 설계에서 유용하게 사용할 수 있다.
![]()
여기서,
: 극한주면마찰력
: 극한주면마찰 저항 강도
: 설계 천공경
: 정착길이
극한마찰저항 강도
|
지반의 종류 |
지반 등급 |
극한마찰저항강도( |
||
|
최솟값 |
최댓값 |
|||
|
암반 |
경암 |
1500 |
2500 |
|
|
연암 |
1000 |
1500 |
||
|
풍화암 |
600 |
1000 |
||
|
파쇄대 |
600 |
1200 |
||
|
모래자갈 |
N값 |
10 |
100 |
200 |
|
20 |
170 |
250 |
||
|
30 |
250 |
350 |
||
|
40 |
350 |
450 |
||
|
50 |
450 |
700 |
||
|
모래 |
N값 |
10 |
100 |
140 |
|
20 |
180 |
220 |
||
|
30 |
230 |
270 |
||
|
40 |
290 |
350 |
||
|
50 |
300 |
400 |
||
|
점성토 |
|
1.0c (c는 점착력) |
||
6.4.3 선단지지력
선단지지력은 N=30이상 양호한 지반에 지지되는 경우 선단지지효과가 크다고 판단될 때 적용한다.
KDS 11 50 20 : 2018 깊은기초 설계기준(한계상태설계법)
|
2. 타입말뚝 2.4 구조설계 (4) 현장 원위치시험을 통한 말뚝지지력의 평가 ② 표준관입시험(SPT)을 이용한 방법은 사질토 및 비소성 실트에 대해 적용한다. 가. 말뚝 선단지지력 (가) 사질토에서 깊이 여기서, 여기서, |
6.4.4 무리말뚝 고려
KDS 41 20 00 : 2019 건축물 기초구조 설계기준
|
4. 설계 4.4 말뚝기초 4.4.3.1 무리말뚝 (1) 다수의 말뚝에 의하여 지지되는 기초에 있어서 무리말뚝으로서의 지지력 및 침하를 검토하여 그 내력을 정하여야한다. 이때 무리말뚝의 효율은 식 (4.4-1)로 산정할 수 있다. 여기서, (2) 최근 공동주택 수직증축 시 기존말뚝에 보강말뚝을 추가하는 경우에도 무리말뚝효과를 검토하여 파일의 내력을 결정하여야 한다. |
∙ 무리말뚝의 효율계수는 다음과 같이 산정한다.
1) 암반인 경우 :
= 1
2) 가압그라우트인 경우 :
= 1
3) 점토 지반 s > 3D :
= 1
4) 점토 지반 s< 3D
![]()
5) 사질토 지반
![]()
6) 블록파괴
![]()
여기서,
: 무리말뚝의 극한 지지력
c : 말뚝 저부 지지력
H : 말뚝 깊이
: 깊이 H에서의 지지력 계수
B, L : 말뚝 적용된 가로, 세로 폭
: 지표면과 깊이H 사이의 평균 점착력
: 말뚝 설치 간격
D : 말뚝 직경
: 말뚝의 횡, 열 개수
6.4.5 구조설계
시공중에 소구경 말뚝 주변이 흙으로 완전히 채워지지 않거나 혹은 말뚝 주변의 흙의 탄성계수가 0.5MPa 미만인 경우는 좌굴에 대한 안정성 검토를 수행하여야 한다.
![]()
여기서,
(자유단)
(고정단)
6.5 소구경 말뚝의 설계 (예)
6.5.1 설계조건
- 건물 제원 : 5층
- 말뚝 제원 : 114.3mm, t=9.0mm
- 말뚝길이 : 6.0m
- 지반특성 : 단위중량 19.0kN/m2
N : Layer1, N = 30, L=4m
Layer2, N = 40, L=1m
- 저항계수 : 0.45(SPT적용시)
6.5.2 말뚝의 설계지지력
가, 설계지지력 산정법(KDS 11 50 20 : 2018)
말뚝 항타나 말뚝재하시험에서 측정한 현장 계측치를 참고로 정적해석 방법에 의해 설계한다. 비슷한 조건을 가진 인접 지반의 말뚝재하시험 결과를 외삽하여 적용할 수도 있다. 말뚝의 지지력은 해석적 방법이나 현장 원위치시험 방법 등으로 산정할 수 있다.
말뚝의 감가된 지지력
은 다음과 같다.
![]()
![]()
![]()
![]()
나. 설계지지력 산정
① 저항계수 :
= 0.45 ; SPT적용시 (KDS 11 50 10 :2018, 2.5 저항계수 표 2.5-2)
② 연직응력 :
③ N 보정계수
![]()
④ 한계 선단지지력 :
20.64 MPa
⑤ 극한 선단지지력
![]()
![]()
* 그룹효과는 말뚝 간격 3D이상으로 군효율
=1
⑥ 극한 주면 마찰저항강도
Layer1 : 극한 마찰저항강도 : N=30,
=230kPa
Layer2 : 극한 마찰저항강도 : N=40,
=290kPa
⑦ 극한 주면 마찰력
![]()
![]()
⑧ 설계지지력
![]()
![]()